漏钢是连铸过程中最严重的破坏性事故,从坯壳中流出的高温钢液不仅会严重损害铸坯质量,还会损毁二冷区设备并使生产过程强行终止。实践表明,黏结漏钢占漏钢总数量的70%~80%。它是指连铸过程中凝固坯壳出结晶器后,坯壳抵挡不住钢水静压力和拉坯力的作用,在薄弱处发生断裂而使钢水流出的现象。导致黏结漏钢的主要原因是在结晶器弯月面附近,因保护渣润滑不良促使坯壳与结晶器铜板发生黏结。同时,冷却速率较大时,凝固坯壳相对于结晶器壁的连续运动会导致两者之间的摩擦力增大,也会造成凝固坯壳与结晶器壁间的黏结,最终造成坯壳破裂而出现漏钢。黏结漏钢是连铸生产过程中最典型、最严重的异常事件,减少和预防黏结漏钢一直是连铸工作者关注的重点,也是连铸过程在线监控的核心。
现有的黏结漏钢预报方法主要分为摩擦力预报法,以及基于铜板温度检测的逻辑判断方法、神经元网络和机器学习方法,来自连铸生产现场的反馈结果表明,上述模型过于依赖设备参数和工艺条件,并且需要频繁的调整报警参数和阈值,算法的自适应性和鲁棒性较差。同时,现有的预报方法由于频繁的误报严重干扰了连铸生产过程的顺行,损害铸坯质量。因此,开发适用且可靠的黏结漏钢预报方法对于提升铸坯质量和保证连铸生产顺行具有重要意义。
黏结漏钢发生时,发生黏结处的铜板局部温度会迅速升高。因此通过在铜板上安插一定数量的热电偶来实时监测铜板表面的温度。如下图所示为结晶器表面热电偶布置示意图,结晶器由四块铜板组合而成,铜板高度为900 mm,浇铸时的有效高度为800 mm。在结晶器内、外弧宽面铜板上各布置3排19列热电偶,左、右侧窄面铜板上各布置3排1列热电偶,共120支热电偶。其中,3排热电偶距结晶器上口的距离分别为210 mm、325 mm和445 mm,宽面铜板相邻两列热电偶的间距为150 mm。

Fig.1 Layout of thermocouples on mould copper plate
浇铸过程中随着铸坯的下移,黏结区域会沿浇铸方向纵向扩展。同时,结晶器的上下振动会导致黏结处的坯壳出现反复的撕裂和愈合,黏结会沿铸坯宽度方向横向扩展。纵向扩展和横向扩展即为黏结漏钢特有的二维空间传播特征,最终在铸坯表面形成“V”型撕裂口。因此,黏结在铸坯表面扩展形成的“V”型特征区域是判断和识别黏结漏钢的重要依据。针对这一特征,同时借助近年来快速发展和应用广泛的计算机视觉技术对结晶器铜板温度进行可视化处理,从时间和空间角度提取黏结区域的几何和移动特征,构造可表征黏结漏钢“V”型区域的特征向量。如下图所示为铜板表面V型区域实物图和模拟热像图。在此基础上,利用深度学习中的生成对抗网络模型,对真伪黏结特征向量样本进行分类训练和测试,建立了基于计算机视觉和生成对抗网络的漏钢预报方法,为连铸过程异常监控提供了新思路。

Fig.2 V-shaped area of sticking breakout

Fig.3 The schematic diagram of a run-based recursive labeling algorithm for binary images
下图所示为ACWGAN-GP模型架构图,Label为样本集P中所包含的类别标签。Noise为服从高斯分布的噪声向量。Fake vectors为生成器Generator生成的伪样本,与真实样本Real vectors共同输入到判别器Discriminator中。判别器对上述样本进行真伪鉴别并输出其对应的类别。

Fig.4 The framework of model ACWGAN-GP
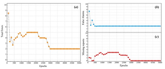
利用建立的模型对由现有的逻辑判断预报方法获取的25例真黏结漏钢和25例伪黏结误报样本组成的训练集,以及15例真黏结漏钢和15例伪黏结误报样本组成的测试集进行测试和分析,测试结果表明,测试集中的15例真黏结漏钢全部报出,即无漏报;15例伪黏结误报样本有2例被误判为真黏结漏钢,即误报2例。
基于计算机视觉和生成对抗网络的漏钢预报方法,有效地捕捉并提取了黏结漏钢V型区域的动态及静态特征,且能够对真黏结漏钢和伪黏结误报的铜板温度进行识别和预测,在基于计算机视觉和人工智能的过程异常在线检测和预报领域展现出极大的应用潜力。相关成果以”Integrated Model of ACWGAN-GP and Computer Vision for Breakout Prediction in Continuous Casting”为题发表在期刊Metallurgical and Materials Transactions B上(DOI:10.1007/s11663-022-02571-w)。

Fig.5 (a) Total errors (b) False alarms (c) Missing reports
原文链接:https://link.springer.com/article/10.1007/s11663-022-02571-w
文章通讯作者为我校材料学院王旭东教授,第一作者为我校博士生王砚宇。
上述研究工作得到国家自然科学基金,中央高校基本科研业务费和凝固控制与数字制备技术重点实验室(辽宁省)基础研究基金的大力支持。